010 8211 2760
sales@voiiov.cn 诚信12年LED间存在的光、电学特性差异通常会引起led显示屏亮度、色度不一致,进而破坏显示屏的白平衡,降低显示品质,严重时还会造成花屏、马赛克等问题。因此,本文从户外全彩LED显示屏整体着手,运用数字图像处理的方法对显示屏上的每个LED像素点进行快速检测,目的在于提高检测速度和准确度,从而改善户外全彩LED显示屏的显示效果。下面就跟随美邦科技光电一起来了解!
LED间存在的光、电学特性差异通常会引起led显示屏亮度、色度不一致,进而破坏显示屏的白平衡,降低显示品质,严重时还会造成花屏、马赛克等问题。因此,本文从户外全彩LED显示屏整体着手,运用数字图像处理的方法对显示屏上的每个LED像素点进行快速检测,目的在于提高检测速度和准确度,从而改善户外全彩LED显示屏的显示效果。下面就跟随美邦科技光电一起来了解!

1、检测原理
计算机通过图像采集/控制模块将CCD(ChargeCoupLEDDevices,电荷耦合器件)传感器采集到的led显示屏的显示图像进行处理。处理过程主要包括LED像素点的定位和亮度、色度的快速检测两部分。
1.1、LED像素点的定位
式中T表示分割阈值,w0、w1分别表示灰度值小于T、大于T的像素点在图像中所占的比重, 0、1分别表示图像整体的灰度平均值、灰度值小于T的那部分图像的灰度平均值、灰度值大于T的那部分图像的灰度平均值。

利用式(1)计算出的阈值T对图2(a)的灰度图像进行二值化处理后得到图2(c),再对图2(c)分别进行水平和垂直投影,就可以计算出LED像素点在显示屏上的位置。

1.2 LED像素点亮度、色度的快速检测
借鉴成功用于PAL(PhaseAlternatingLine,逐行倒相制)制式的电视系统中的YUV颜色模型(Y表示亮度,U和V是构成彩色的两个分量),将图像中采用的RGB颜色模型转换成式(2)的颜色模型,可以方便、快捷地计算出各像素点的相对亮度值。
根据色度学中的加色法原理,户外全彩LED显示屏由RGB三基色LED构成显示屏上的每个像素点,通过控制每个像素点中的某基色LED的发光强度,就可以配出各种颜色,在显示屏上显示出丰富多彩的彩色图像。在CIE(国际照明委员会)rg色度图中,色度坐标反映的是三基色各自在三刺激值总量中的相对比例,一组色度坐标表示了色相相同和饱和度相同而亮度不同的那些颜色的共同特征。
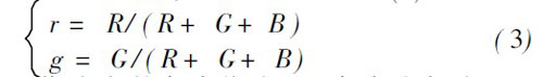
而led显示屏上的每个像素点总是能在待测图像中找到对应的区域。因此,可通过其对应区域内图像数据中的RGB值来确定该像素点的色度,其计算公式如式(3)。
设测得的LED像素点的亮度值为Y1,色度坐标为(r1,g1),分析Y1、(ri,g1)的离散性,就能确定led显示屏上亮度和色度不一致的LED像素点。
2、处理结果及分析
利用CCD图像传感器采集图像,对三合一表贴户外全彩LED显示屏的单元模块中的LED像素点进行了算法测试。以蓝色为例,图2(a)为CCD图像传感器采集的三合一表贴单元模块显示的蓝色图像。为更好地验证该检测方法的有效性, 本文对该LED显示单元模块的某些像素点进行了遮蔽处理,形成了图2(a)中的黑色部分。由于LED是自发光体,并且发光强度在一定范围内与提供给它的驱动电流成正比,因此在驱动电路的设计、制造和调试过程中,通过合理控制驱动电流,可以尽量减小亮度差,以平均值作为标准值来计算,应小于15%至20%。

因此,为方便后续的亮度校正,实验对偏离整体亮度平均值5%以上的LED像素点进行定位和统计,以求将这些偏离较大的像素点的亮度差值控制在10%以内。在进行色度检测时,本文参照麦克亚当(D.L.MacAdam)对颜色宽容度进行量化的方法(如图3),对各LED像素点的色度坐标进行了统计,求出这些色度坐标的几何中心,并记录下与该几何中心的欧式距离大于d0的LED像素点3-5%(不同颜色d0取值不同),如式(5)。
其中亮度值Y1为相对亮度,正比于最大亮度255;色度坐标为(r1,g1)。用AvaSpec-2048微型光谱仪对同一单元模块进行了对比测试,其测试结果如表2所示。对比可知,本文采用的检测方法是有效、可行的,且检测速度快、精度高。
总结:以上就是今天美邦科技小编给大家分享的关于“美邦科技光电分享户外全彩LED显示屏的全新检测方法有哪些?”主要内容,针对还有更多不了解的产品需要进行了解,可继续浏览美邦科技官网其它页面,其中具有非常多的关于LED显示屏专业的知识点,希望可以帮助到大家。同时美邦科技光电从事LED现实10多年都具有非常多的经验,包括研发与生产,已经合作上千家企业,产品畅销全球,行业内知名的品牌!
相关知识阅读:
免责声明:部分文章信息来源于网络以及网友投稿,本网站只负责对文章进行整理、排版、编辑,是出于传递 更多信息之目的,并不意味着赞同其观点或证实其内容的真实性,如本站文章和转稿涉及版权等问题,请作者在及时联系本站,我们会尽快处理。













